电子游艺 在锡基合金负极领域取得重要进展
在潘锋教授和李锐副研究员的指导下,2013级硕士生彭灏脚利用模板法成功地研发出了一种核壳结构的碳包覆锡基合金纳米棒阵列复合负极材料(Sn-Ni-Cu-alloy@C)。
2016-05-18
北大电子游艺 在量子点敏化太阳能电池研究取得进展
潘锋教授团队与中科院化学所林原教授团队合作,通过第一性原理和实验发现, TiO2 CdS CdSe QDSSCs 的光电转化性能可以通过液相原子层技术调控CdS缓冲层的原子层数来实现,最高效率能达到6%,接
2016-04-13
陶国华课题组在非绝热动力学理论方法开发方面取得突破
陶国华副教授最近开发了一种多态轨线方法 [MST, J Chem Phys 2016, 144, 094108]。该方法基于Meyer-Miller 电子态经典映射理论,提出描述原子核-电子耦合体系的多态轨线表
2016-03-31
陶国华课题组研究动力电池材料中锂离子扩散取得新进展
陶国华副教授近期应用本人开发的非绝热动力学理论新方法-多态轨线方法研究了磷酸铁锂体系中电子耦合锂离子扩散过程。磷酸铁锂体系中电导率与离子迁移率具有强相关性,此前研究表明电
2016-03-31
电子游艺发现新型高纯磷酸铁钠合成方法与机理及钠电池性能
新加坡国立大学Kian Ping Loh教授团队和电子游艺 深圳研究生院电子游艺 潘锋教授团队合作设计了磷酸铁钠的基于水溶液的离子交换制备方案,和基于有机溶液的离子交换法进行对比,并对两种
2016-03-16
电子游艺 发现分子前驱体热解法制备高性能锂离子材料
在潘锋教授指导下,博士后张明建和田雷雷等人和团队的老师同学合作,展示了一种新的制备高性能锂离子电池负极材料的方法:通过无碳和含碳的二维层状分子前驱体的热分解,可以获得均匀
2016-03-15
电子游艺 用二维材料实现了高性能钠电池
潘锋教授团队在电子游艺前期对新型二维材料Fe3(PO4)2·8H2O的研究中,通过实验和理论计算,他们实现了单层 双层Fe3(PO4)2·8H2O的可控制备,并全面的揭示了这种新型二维材料的形成机理。
2016-03-11
电子游艺 发现新型太阳能电池背电极材料
在潘锋教授指导下,博士后张明建和研究生林钦贤等人和团队的老师同学合作,发现了新型p型Cu9S5化合物具有良好的导电性,并将之制备成纳米薄膜,用作CdTe电池的背电极,实现了转换效率的
2016-02-26
我院发现高低温性能最好的镍钴锰三元动力电池材料及机理
潘锋教授团队在MNC三元材料的高低温扩散动力学及在寻找具有最佳高低温性能的三元材料方面取得重要突破。
2016-02-26
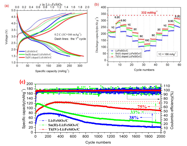
新材料在新型锂离子电池正极材料Li2FeSiO4领域取得重要进展
潘锋教授课题组和武汉理工大学材料复合新技术国家重点实验室木士春教授合作,在提高Li2FeSiO4正极材料稳定性及电化学性能上取得重要突破。
2016-02-24
深圳市南山区桃园街道南山智园二期D2栋4楼409室
Copyright © 2011 电子游艺 Powered By its.dziyouyi.com
ICP备案编号:
电子游艺官方微信